모넬 400 와이어(UNS N04400)는 환원 환경, 특히 불산이 포함된 해양 엔지니어링 및 화학 공정에서 높은 강도 유지와 부식에 대한 내성이 요구되는 응용 분야를 위한 최고의 야금 솔루션으로 남아 있습니다. 구매 담당자와 재료 엔지니어의 결론은 간단합니다. 새로운 초합금이 존재하지만 모넬 400은 흐르는 바닷물과 가혹한 알칼리에 노출되는 와이어 부품에 가장 효율적인 비용 대비 성능을 제공합니다. 열처리로 경화할 수 없는 고용체 이원 합금이므로 기계적 강도는 제조 과정에서 적용되는 냉간 가공(드로잉) 수준에 따라 전적으로 결정됩니다.
1. 왜 MWalloys를 선택해야 하나요?
에서 MWalloys는 단순한 재고 보유 업체가 아닌 전담 제조업체로 운영됩니다. 이를 통해 직조용 완전 어닐링(소프트)부터 패스너 및 스냅 링용 스프링 템퍼(하드)까지 와이어의 정밀한 템퍼를 제어할 수 있습니다. 구매자는 중국 시설에서 직접 소싱함으로써 서구 유통망에서 흔히 볼 수 있는 30%~40% 마크업을 우회하고 ASTM B164 및 AMS 4730 표준을 완벽하게 준수하는 소재를 공급받을 수 있습니다. 100% 밀 테스트의 투명성을 보장하고 글로벌 프로젝트를 위한 신속한 물류를 제공합니다.

2. 재료 정의: 모넬 400이란 무엇인가요?
모넬 400 은 주로 니켈(약 63-70%)과 구리로 구성된 단상 고용체 합금입니다. 산화크롬 수동층에 의존하는 스테인리스강과 달리 모넬 400은 기본 원소의 고귀함을 통해 본질적으로 부식에 강합니다. 가장 초기에 개발된 니켈 합금 중 하나이며, 환원 조건에서 가장 잘 작동하지만 염산과 같은 환원산과 산화제에 모두 저항하는 고유한 능력으로 인해 여전히 관련성이 높습니다.
주요 야금 특성:
-
구조: 얼굴 중심 큐빅(FCC) 격자.
-
자기 투과성: 이것은 중요한 차이점입니다. 모넬 400은 실온에서 약한 자성을 띠고 있습니다. 퀴리점은 주변 온도에 가깝기 때문에 약간의 온도 변화에 따라 자기 특성이 바뀔 수 있습니다. 이 점이 다음과 구별됩니다. 모넬 K-500는 비자기성입니다.
-
작업 강화: 열 경화가 불가능하기 때문에 와이어는 냉간 인발로만 높은 인장 강도를 얻을 수 있습니다. 이 공정은 입자 구조를 길게 만들어 강도는 증가하지만 연성은 감소합니다.
3. 화학 성분 분석
용융물의 순도에 따라 전선의 수명이 결정됩니다. MWalloys는 엄격한 조성 제한을 준수하여 염 생산 또는 알킬화 장치와 같은 중요한 환경에서 재료가 예측 가능한 성능을 발휘하도록 보장합니다.
표 1: 화학 성분(무게 %)
| 요소 | 기호 | 최소 % | 최대 % | 합금의 기능 |
| 니켈 | Ni | 63.0 | 70.0 | 매트릭스 구조와 기본 내식성을 제공합니다. |
| 구리 | Cu | 잔액 | 잔액 | 바닷물에 대한 저항력을 향상시키고 산을 감소시킵니다. |
| Iron | Fe | - | 2.5 | 자기 편차를 최소화하고 오염을 방지하기 위해 낮게 유지합니다. |
| 망간 | Mn | - | 2.0 | 녹는 동안 탈산제 역할을 하며 연성을 향상시킵니다. |
| 탄소 | C | - | 0.3 | 취성을 방지하도록 제어됩니다. |
| 실리콘 | Si | - | 0.5 | 산화 저항성을 위해 약간의 추가. |
| 유황 | S | - | 0.024 | 그리는 동안 뜨거운 균열을 방지하기 위해 엄격하게 제한됩니다. |
참고: 구리의 '잔액'은 일반적으로 28%에서 34% 사이에 위치합니다.
4. 기계적 특성 및 온도 조건
와이어 제품의 경우 '상태' 또는 '성질'이 가장 중요한 사양입니다. 메쉬 직조용 와이어가 필요한 구매자는 스프링을 제조하는 구매자와는 전혀 다른 특성이 필요합니다.
표 2: 온도별 기계적 특성
| 온도 조건 | 인장 강도(MPa) | 인장 강도(ksi) | 연신율 (%) | 일반적인 애플리케이션 |
| 어닐링(소프트) | 480 - 600 | 70 - 85 | 35% - 50% | 직조, 잠금 와이어, 타이 와이어 |
| 1/4 하드 | 600 - 750 | 85 - 110 | 20% - 30% | 콜드 헤딩, 성형 |
| 1/2 하드 | 750 - 900 | 110 - 130 | 10% - 20% | 핀, 클립 |
| 풀 하드(스프링) | 1000 - 1200 | 145 - 175 | 2% - 5% | 스프링, 스냅 링 |
물리 상수:
-
밀도: 8.80g/cm³(0.318lb/in³)
-
녹는 범위: 1300°C - 1350°C(2370°F - 2460°F)
-
전기 저항: 0.511µΩ-m(20°C 기준)
-
탄성 계수: 179 GPa(26,000 ksi)
5. 제조 공정: 로드에서 와이어까지
모넬 400 와이어의 생산에는 정교한 냉간 환원 공정이 포함됩니다. 합금이 빠르게 경화되기 때문에 이 공정에는 중간 어닐링 단계가 필요합니다.
-
원재료 선택: 낮은 가스 함량을 보장하기 위해 진공 유도 용융(VIM)을 통해 생산된 열간 압연 선재(일반적으로 5.5mm 또는 6.5mm)로 시작합니다.
-
산성 피클: 산성 욕조에서 막대를 세척하여 표면 산화물을 제거합니다. 모넬 스케일은 끈질기므로 이 단계는 표면 품질에 매우 중요합니다.
-
콜드 드로잉: 막대는 일련의 텅스텐 카바이드 또는 다이아몬드 다이를 통해 당겨집니다. 각 패스마다 직경이 줄어들고 인장 강도가 증가합니다.
-
윤활: 니켈 합금은 갈링이 발생하기 쉬우므로 특수 캐리어 코팅(주로 석회 또는 비누 기반)을 적용하여 와이어가 다이에 고착되는 것을 방지합니다.
-
-
중급 어닐링: 대상 직경이 매우 작으면(가는 와이어) 재료가 너무 부서져 더 이상 그릴 수 없게 됩니다. 약 900°C의 수소 분위기 스트랜드 어닐링 용광로에 통과시켜 입자 구조를 재설정합니다.
-
최종 템퍼링: 최종 추첨에 따라 최종 용도가 결정됩니다. '스프링 템퍼'의 경우, 강성을 극대화하기 위해 최종 감소가 무겁습니다(보통 60% 이상의 면적 감소).
-
마무리: 와이어를 청소하거나, 스풀링하거나, 직선 길이로 자릅니다.
6. 내식성 프로파일
이것이 엔지니어들이 모넬 400을 지정하는 주된 이유입니다. 이 소재의 저항 프로파일은 스테인리스 스틸과 뚜렷이 구분됩니다.
불화수소산(HF):
모넬 400은 끓는점까지 모든 농도의 불산을 견딜 수 있는 몇 안 되는 합금 중 하나입니다. 따라서 정유 공장의 알킬화 장치에 사용되는 표준 소재입니다.
해양 환경:
흐르는 바닷물에서 모넬 400은 부식 속도가 미미합니다. 그러나 정체되거나 느리게 움직이는 바닷물에서는 해양 생물(따개비)이 와이어에 부착되어 틈새가 생기면 구멍이 생길 수 있습니다.
산과 알칼리:
-
황산: 환원 조건에 대한 내성(공기가 용해되지 않음).
-
염산: 실온에서 최대 20% 농도에서 우수한 내성을 발휘합니다.
-
알칼리: 304 또는 316 스테인리스 스틸과 달리 염화이온 응력 부식 균열에 전혀 영향을 받지 않습니다.

7. 사양 및 표준 상호 참조
글로벌 호환성을 보장하기 위해 MWalloys는 다음과 같은 국제 표준에 따라 와이어를 생산합니다.
| 조직 | 표준 | 설명 |
| ASTM | ASTM B164 | 니켈-구리 합금 막대, 봉 및 와이어의 표준 사양. |
| AMS | AMS 4730 | 항공우주 애플리케이션을 위한 전선 사양(화학적 순도 초점). |
| QQ-N-281 | 연방 사양(레거시이지만 여전히 미국 국방에서 참조됨). | |
| DIN | 17753 | 와이어에 대한 독일 사양. |
| ISO | 9723/9724 | 니켈 합금 와이어에 대한 국제 표준. |
| ASME | SB-164 | 보일러 및 압력 용기 코드 준수. |
8. 중요 애플리케이션
모넬 400 와이어는 페일 세이프 성능이 요구되는 산업 전반에 걸쳐 사용됩니다.
석유화학 및 정유:
분리 타워 내부의 데미스터 패드(니트 와이어 메쉬)에 사용됩니다. 와이어는 사워 가스 및 HF 산성 증기에 견딜 수 있어야 합니다.
마린 패스너:
콜드헤드 와이어는 선박 선체용 리벳과 나사를 제조하는 데 사용됩니다. 와이어는 선체의 빠른 부식을 방지하기 위해 강철과 전기적으로 호환되거나 생물학적 오염에 강한 목재에 사용해야 합니다.
전자 부품:
전기 저항과 내구성으로 인해 특수 저항기 및 바이메탈 접점에 사용됩니다.
항공우주 안전 와이어:
어닐링 모넬 400 와이어는 진동으로 인한 풀림을 방지하기 위해 항공기 엔진 볼트의 잠금 와이어(안전 와이어)로 사용됩니다. 엔진 블록의 높은 열에도 무결성을 잃지 않고 견딜 수 있습니다.
9. 모넬 400 와이어 크기 및 무게 계산
MWalloys는 초미세 필라멘트부터 두꺼운 코일까지 다양한 직경의 제품을 제공합니다.
크기 범위:
-
미세 와이어: 0.05mm ~ 0.8mm(스풀)
-
거친 와이어: 0.8mm ~ 12mm(코일 또는 절단 길이)
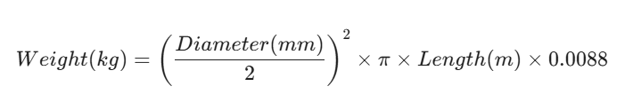
무게 계산 공식:
엔지니어와 물류 계획자는 밀도 계수를 사용하여 주문의 무게를 추정할 수 있습니다.

예: 직경 2mm 와이어 1000미터.
반경 = 1mm.
부피 = 1² × 3.14159 ×1000 = 3141.59c³.
무게 = 3141.59×8.80g/c³ = 27,646g 또는 27.65kg.
10. 2025 글로벌 가격 분석: 소싱 전략이 중요한 이유
모넬 400의 가격은 런던금속거래소(LME)의 니켈 및 구리 지수와 밀접한 관련이 있습니다. 그러나 제조 프리미엄은 지역에 따라 다릅니다.
가격 구조 동인:
-
니켈 추가 요금: 합금은 ~65% 니켈이므로 가격 변동성이 높습니다.
-
처리 비용: 와이어를 그리는 것은 에너지 집약적입니다.
지역별 가격 비교(2025년 1분기 예상):
| 지역 | 예상 가격 범위(USD/kg) | 시장 속성 |
| 미국/북미 | $45.00 - $60.00 | 높은 인건비, DFARS 규정 준수 보험료. |
| 서유럽 | $42.00 - $55.00 | 어닐링/용융에 영향을 미치는 높은 에너지 비용. |
| 중국(M합금) | $28.00 - $35.00 | 통합 공급망, 전환 비용 절감. 동일한 ASTM 규정 준수. |
MWalloys의 이점:
효율적인 로터리 드로잉 기계와 자체 어닐링을 활용합니다. 중간 마진을 제거하여 더 저렴하고 신뢰성이 떨어지는 소재를 사용할 수 있는 프로젝트에 Monel 400을 사용할 수 있는 가격대를 제공합니다.
11. 자주 묻는 질문(FAQ)
Q1: 모넬 400 와이어는 자성이 있나요?
예, 실온에서 약간 자성을 띱니다. 퀴리 온도는 약 20~50°C입니다. 비자성 니켈-구리 합금이 필요한 경우 모넬 K-500을 선택하는 것이 좋지만, K-500은 오래 사용할 수 있고 가격이 더 비쌉니다.
Q2: 모넬 400 와이어를 용접할 수 있나요?
예. 와이어가 필러 금속(TIG/MIG 용접)으로 사용되는 경우 ERNiCu-7(AWS A5.14)로 지정됩니다. 용접성이 뛰어나며 내식성을 회복하기 위해 용접 후 열처리가 필요하지 않습니다.
Q3: 모넬 400은 황산에서 어떤 성능을 발휘하나요?
최대 60°C의 온도에서 공기가 없는 황산에서 잘 작동합니다. 그러나 산에 산소가 포함되어 있는 경우 부식 속도가 크게 빨라집니다.
Q4: '모넬 400'과 '합금 400'의 차이점은 무엇인가요?
기술적인 차이는 없습니다. "모넬"은 원래 스페셜 메탈 코퍼레이션의 상표였습니다. "Alloy 400" 또는 "UNS N04400"은 동일한 화학 성분을 나타내기 위해 MWalloys와 같은 다른 제조업체에서 사용하는 일반적인 산업 명칭입니다.
Q5: 모넬 와이어가 녹색으로 변하는 이유는 무엇인가요?
습한 대기에서 모넬은 순수 구리와 유사한 녹색 녹청(구리 산화물)이 생길 수 있습니다. 이는 전선의 구조적 무결성에 영향을 미치지 않으며 일반적으로 시간이 지나면 안정화됩니다.
Q6: MWalloys는 스프링용 모넬 400 와이어를 공급할 수 있습니까?
물론입니다. "스프링 템퍼" 또는 "풀 하드" 조건을 지정해야 합니다. 스프링 메모리에 필요한 인장 강도(약 1100-1200 MPa)를 달성하기 위해 와이어를 냉간 인발합니다.
Q7: 모넬 400의 최대 작동 온도는 얼마인가요?
최대 538°C(1000°F)의 산화 환경에서 사용할 수 있습니다. 이 온도 이상에서는 산화 속도가 증가하여 니켈-크롬 합금(예: 인코넬 600)이 더 나은 선택이 됩니다.
Q8: Monel 400은 암모니아 취급에 적합합니까?
모넬 400 및 모든 고구리 합금은 습식 암모니아가 존재할 경우 급속 응력 부식 균열이 발생하기 쉽습니다.
Q9: MWalloys는 테스트용 샘플을 제공하나요?
예. 심각한 문의의 경우, 화학 분석(PMI) 및 인장 테스트를 위한 1미터 길이의 전선 샘플을 제공하여 특정 ASTM 표준 준수 여부를 확인할 수 있습니다.
Q10: 2mm 와이어 500kg의 리드 타임은 어떻게 되나요?
막대가 재고가 있는 경우, 드로잉 및 어닐링 공정에는 약 7~10일이 소요됩니다. 해상 운송을 통해 미국 또는 유럽으로 배송하는 경우 25~35일이 소요됩니다. 긴급한 MRO 요구 사항의 경우 항공 운송이 가능합니다.
프로젝트를 위한 다음 단계
현재 편직 또는 스프링 제조 프로젝트를 위해 와이어를 조달하고 계신가요? 성질 요구 사항은 크게 다릅니다.
지금 MWalloys에 문의하세요. 필요한 직경과 조건(어닐링 또는 하드)을 보내주세요. 24시간 이내에 공식 공장도 가격 견적을 생성하여 2025년 이후에도 공급망이 견고하고 비용 효율적으로 유지되도록 보장해 드립니다.
